Ответы
Ответ дал:
0
==========================================
Приложения:
Ответ дал:
0
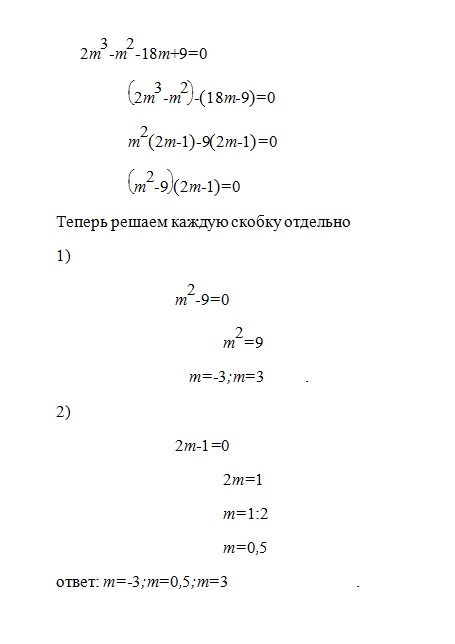
(2m^3-m^2)-(18m-9)=0
m^2(2m-1)-9(2m-1)=0
(m^2-9)*(2m-1)=0
m^2-9=0
m^2=9
m=3 or -3
------------
ILI
2m-1=0
2m=1
m=0.5
m^2(2m-1)-9(2m-1)=0
(m^2-9)*(2m-1)=0
m^2-9=0
m^2=9
m=3 or -3
------------
ILI
2m-1=0
2m=1
m=0.5
Приложения:
Вас заинтересует
3 года назад
8 лет назад
11 лет назад
11 лет назад
11 лет назад