• Предмет: Алгебра
  • Автор: Incubusk
  • Вопрос задан 10 лет назад

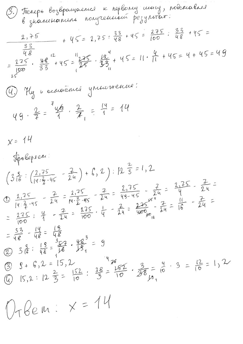
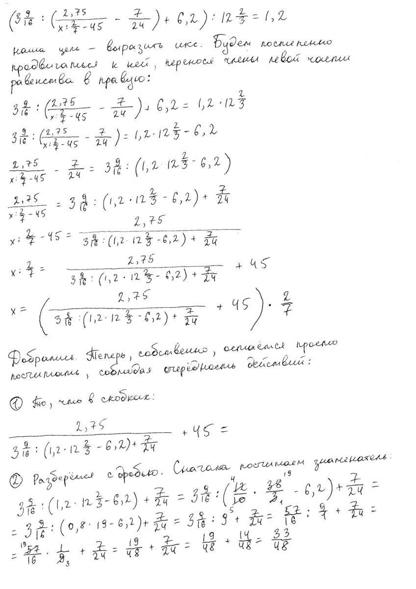
(3frac{9}{16}:(frac{2.75}{x:frac{2}{7}-45}-frac{7}{24})+6,2):12frac{2}{3}=1,2

Помогите решить,пожалуйста.
Большая просьба написать решение пошагово.

Ответы

Ответ дал: Пришелец13
0
Вот, подробное решение. Сохраняй на жёсткий и увеличивай.)
Приложения:
Вас заинтересует