Ответы
Ответ дал:
0
Если понравилось решение - нажимай "спасибо" и "лучший" (рядом с кнопкой "спасибо") :)
Приложения:

Ответ дал:
0
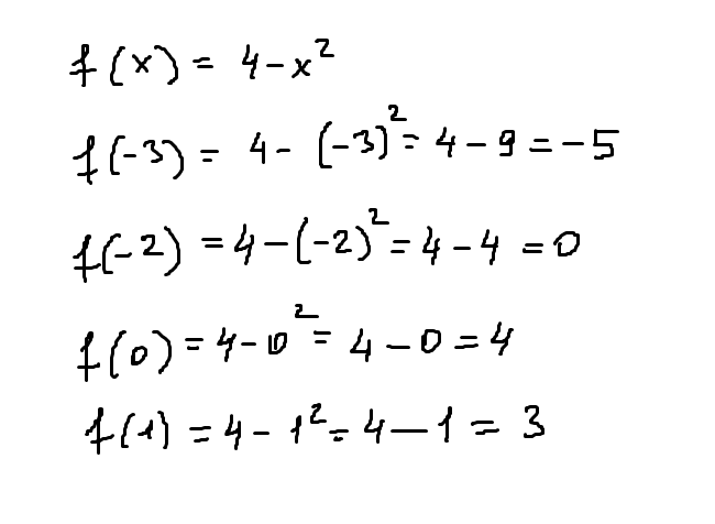
1) f(-3)= 4-9=-5
2) f(-2) =4-4=0
3) f(0)= 4-0=4
4) f(1)= 4-1= 3
И чем же вы занимаетесь на уроках,что такую простатень не можете решить
2) f(-2) =4-4=0
3) f(0)= 4-0=4
4) f(1)= 4-1= 3
И чем же вы занимаетесь на уроках,что такую простатень не можете решить
Приложения:

Ответ дал:
0
могу,но была не уверенна,теперь уверенна.
Вас заинтересует
2 года назад
2 года назад
8 лет назад
8 лет назад
10 лет назад
10 лет назад