ПОМОГИТЕ ПОЖАЛУЙСТА №1 сократитеПОМОГИТЕ ПОЖАЛУЙСТА
№1
сократите дробь ( на фото )
№2
решите уравнения
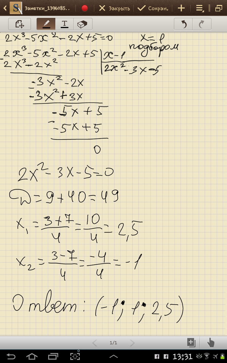
1) 2х³-5х²-2х+5=0
2) 2х⁴-19х²+9 =0
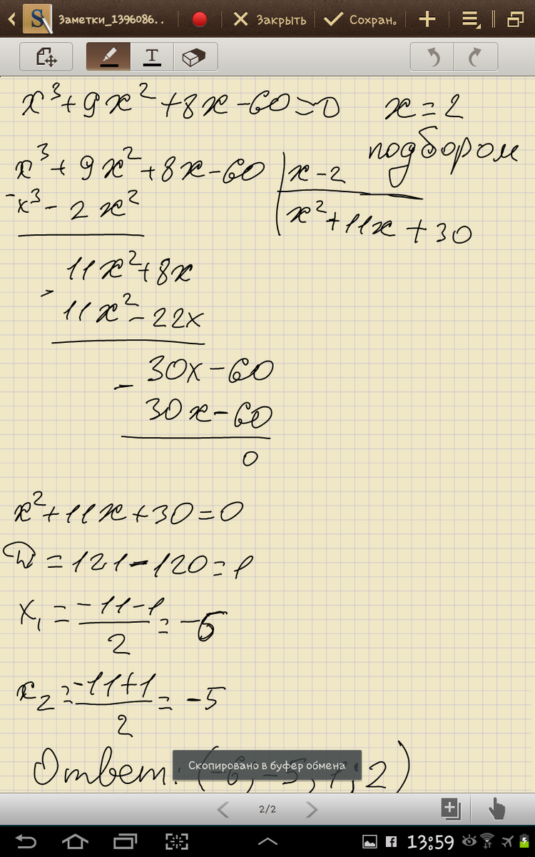
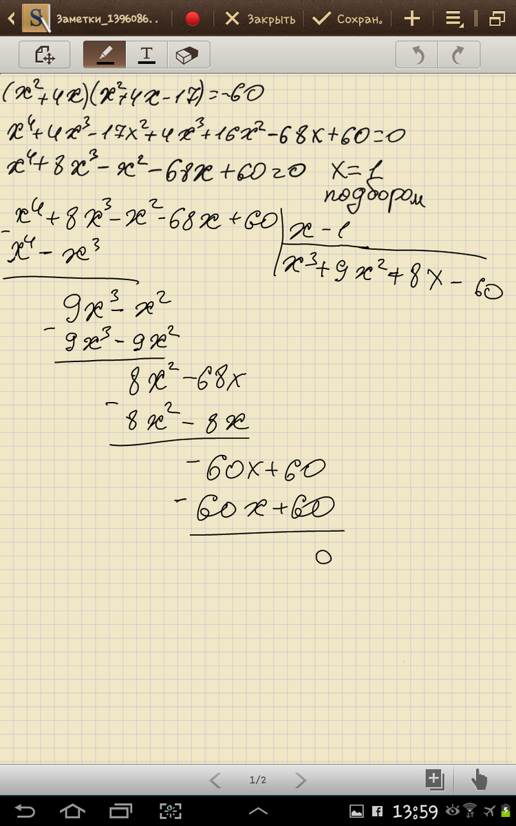
3) ( х²+4х)(х²+4х-17)= - 60
№5
найдите все R при которых уравнение :
3х²+Rх+1=0 имеет только один корень
№6
решите уравнение на 2 картинке
№7
Моторная лодка прошла 7 км по течению реки и 10км против течения, затратив на путь по течению на 30 минут меньше, чем на путь против течения. Собственная скорость лодки равна 12км/ч. Найдите скорость хода лодки против течения. (Желательно с таблицей)
№8
решите уравнение
√5х²-√3х +√2 = х-3
*№9
пусть х₁и х₂ - корни уравнения 3х²-4х-1=0 не решая уравнения , найдите
а) х₁²+х₂² б) х₁²х₂ + х₁х₂²
*№10
В уравнении х²-(2р²-р-6)х+(8р-1)=0
сумма корней равне - 5 . найдите значение переменной р и корень уравнения .
Приложения:
Ответы
Ответ дал:
0
N 2. 1,2
в 1 x=1 подбором
N 2.3
3я и 4я фотки
в 1 x=1 подбором
N 2.3
3я и 4я фотки
Приложения:
Вас заинтересует
2 года назад
2 года назад
8 лет назад
8 лет назад
10 лет назад
10 лет назад
11 лет назад
11 лет назад