• Предмет: Алгебра
  • Автор: Аноним
  • Вопрос задан 10 лет назад

упростить выражение
см. приложение -если не понятно могу пояснить

Приложения:

Ответы

Ответ дал: Artem112
0
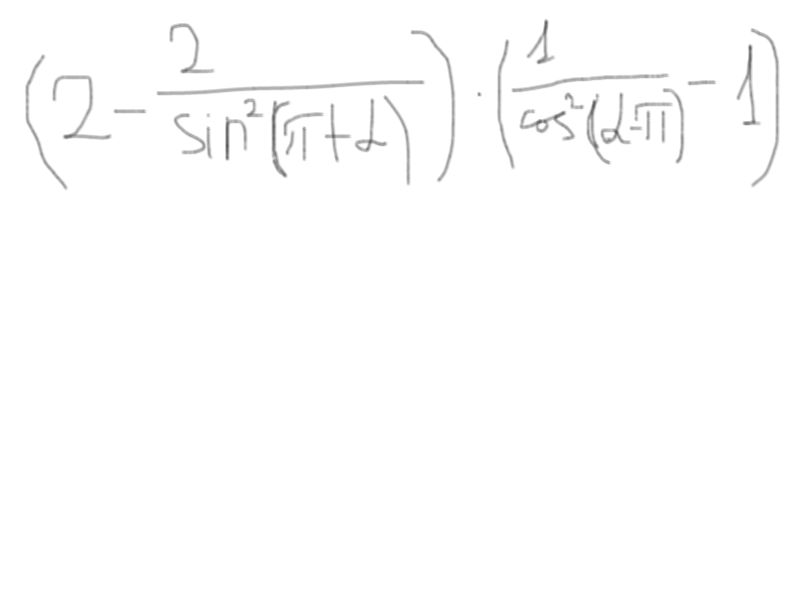
(2- frac{2}{sin^2( pi + alpha )}) cdot( frac{1}{cos^2(  alpha -pi )}-1)=
2(1- frac{1}{sin^2 alpha}) cdot( frac{1}{cos^2 alpha}-1)=
\
=2(1- (1+ctg^2 alpha )) cdot( (1+tg^2 alpha )-1)=
-2ctg^2 alpha  cdot tg^2 alpha =-2
Ответ дал: mmb1
0
-2
==========================================================
Приложения:
Ответ дал: Аноним
0
а почему пи в скобках убирается и пишется только альфа
Ответ дал: mmb1
0
формулы приведения sin(pi+a)=-sin a
в квадрате -sina * (-sina)=sin^2 a
cos(pi-a)=-cosa
Ответ дал: mmb1
0
Посмотрите их надо знать наизусть на ЕГЭ задание С1
Ответ дал: Аноним
0
аааа все поняла, спасибо)
Вас заинтересует