• Предмет: Математика
  • Автор: aleks9671
  • Вопрос задан 10 лет назад

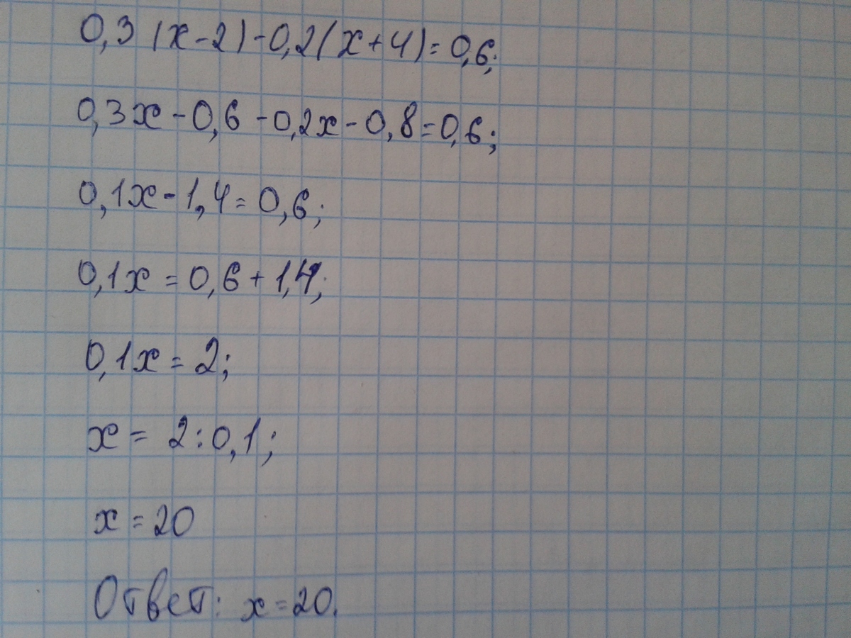
0,3( x-2)-0,2(x+4)=0,6

Ответы

Ответ дал: ilonkaponka
0
Вот,мы так решаем))Вроде правильно)
Приложения:
Вас заинтересует