• Предмет: Алгебра
  • Автор: welcome124
  • Вопрос задан 10 лет назад

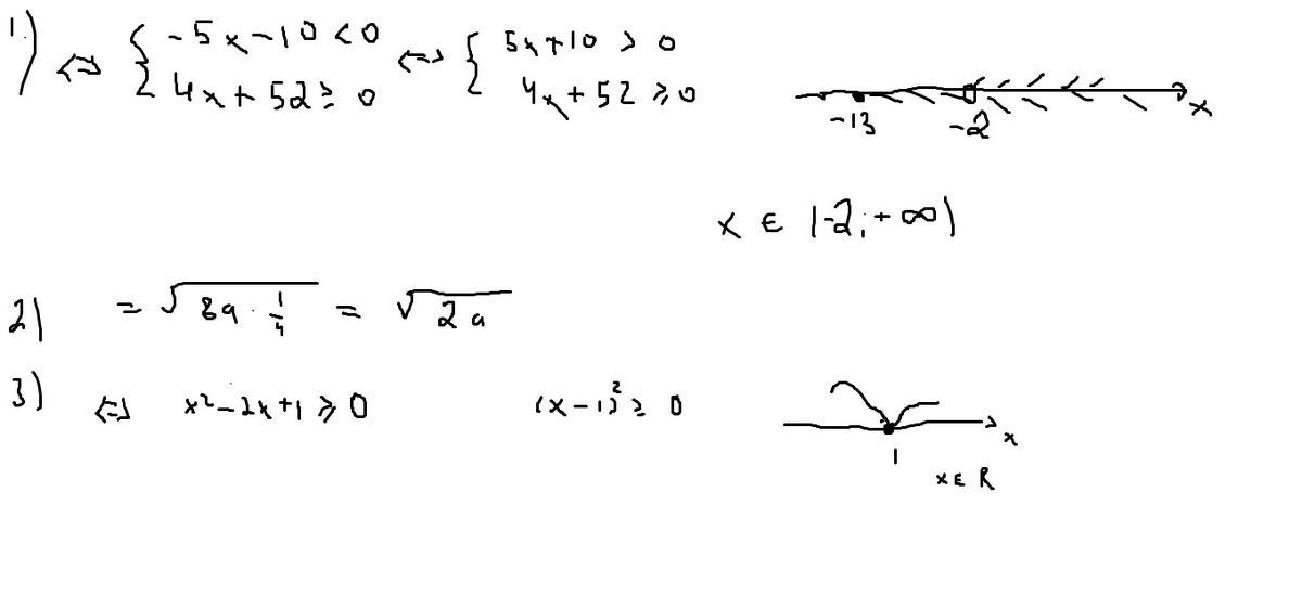
1. Решите систему неравенств  left { {{2-3x <2x+12} atop {4x+52 geq 0}} right.

2. Внесите множитель под знак корня  frac{1}{2}  sqrt{8a.}

3. Найдите значение выражения  sqrt{ x^{2} -2x+1}

Ответы

Ответ дал: aleantchest
0
.................................................
Приложения:
Вас заинтересует