• Предмет: Математика
  • Автор: parampam1
  • Вопрос задан 10 лет назад

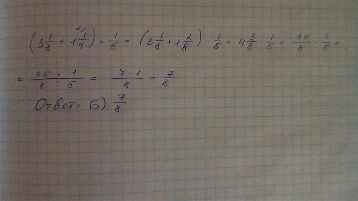
ПОМОГИТЕ ПОЖАЛУЙСТА С ПРИМЕРОМ

НАЙДИТЕ 15 ОТ СУММЫ ЧИСЕЛ 3ЦЕЛЫХ 18 И 1ЦЕЛАЯ 14
ОТВЕТЫ:
А)12
Б)78
В)56
Г)23

Ответы

Ответ дал: Мilkа
0
Лови решение^^
Лёгкий же пример :)
Приложения:
Ответ дал: parampam1
0
Вааай спасиибки большое^^
Вас заинтересует