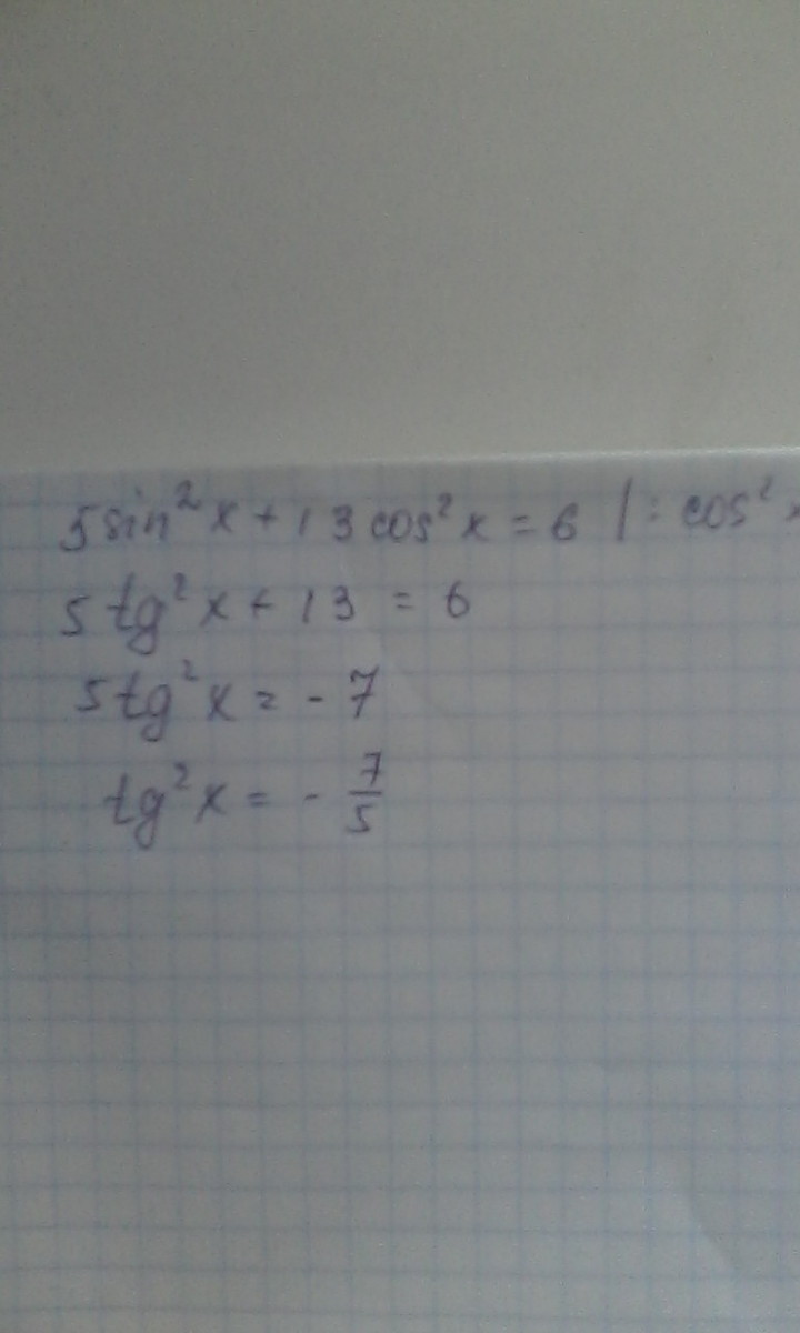
Найти Tg^2x если 5sin^2x+13cos^2x=6
Распишите, пожалуйста, что да как, а не просто ответ.
Спасибо.
Ответы
Ответ дал:
0
решение во вложения. .. смотри фото. ..
Приложения:

Ответ дал:
0
ой) не правильно
Вас заинтересует
2 года назад
8 лет назад
8 лет назад
10 лет назад
10 лет назад