• Предмет: Геометрия
  • Автор: АнстасияКотова
  • Вопрос задан 10 лет назад

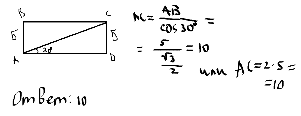
Менша сторона прямокутника дорівнює 5 см. Знайдіть довжину діагоналі,якщо вона утворює з більшою стороною кут 30 градусів.

Ответы

Ответ дал: Аноним
0
...........................................
Приложения:
Вас заинтересует