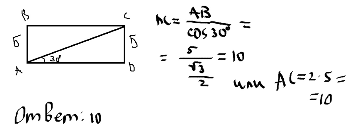
Менша сторона прямокутника дорівнює 5 см. Знайдіть довжину діагоналі,якщо вона утворює з більшою стороною кут 30 градусів.
Ответы
Ответ дал:
0
...........................................
Приложения:

Вас заинтересует
2 года назад
2 года назад
8 лет назад
10 лет назад
10 лет назад
10 лет назад
10 лет назад