• Предмет: Геометрия
  • Автор: Ксюююшаааа
  • Вопрос задан 10 лет назад

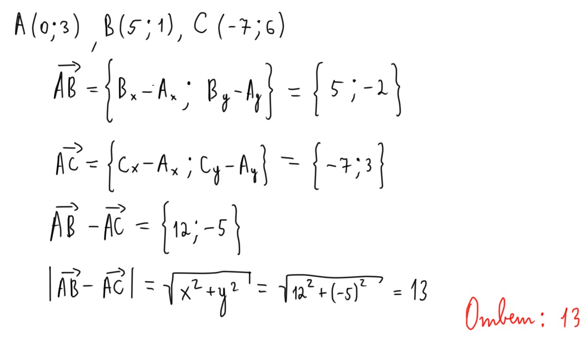
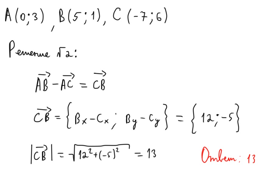
На плоскости отмечены точки А(0;3) , В(5;1)  и С ( -7;6) Найдите длину вектора АВ-АС

Ответы

Ответ дал: nikolac
0
Решение на картинке.

p.s. Добавил ещё один вариант решения - для него даже координаты точки A не нужны.
Приложения:
Вас заинтересует