• Предмет: Алгебра
  • Автор: frolovroman
  • Вопрос задан 10 лет назад

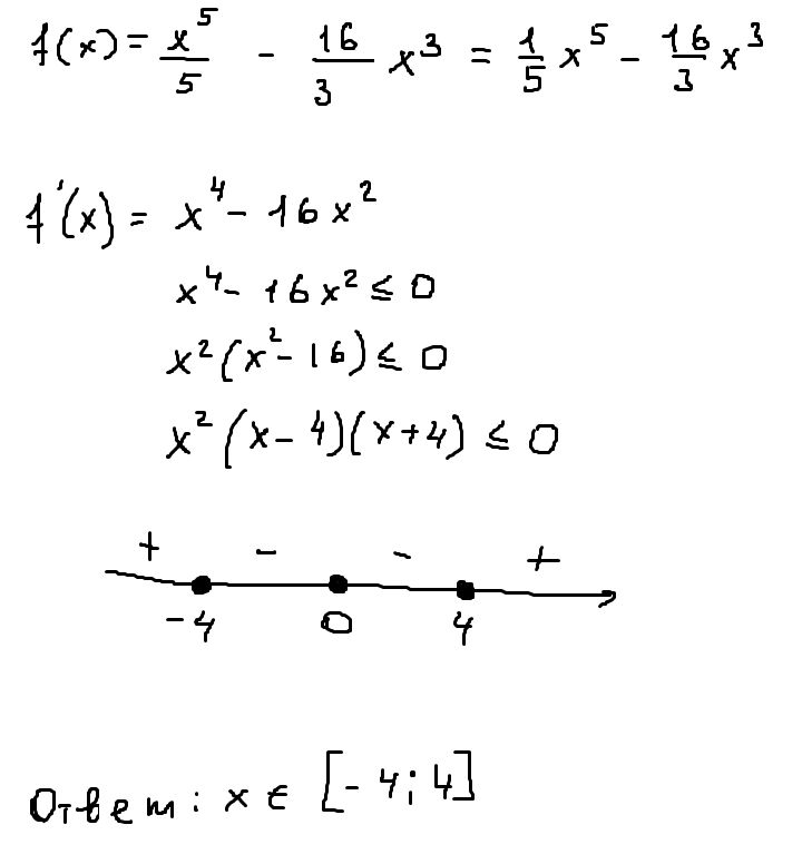
В27. Укажите число целых решений неравенства f (штрих) меньше или равно 0, если
f(х)= х(в 5 степени) деленное на 5 - 16 деленное на 3, умноженное на х (в кубе).

Ответы

Ответ дал: esmilya
0
Если понравилось решение - нажимай "спасибо" и "лучший" (рядом с кнопкой "спасибо") :)
Приложения:
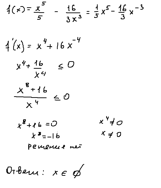
Ответ дал: frolovroman
0
Х в кубе не в знаменателе
Вас заинтересует