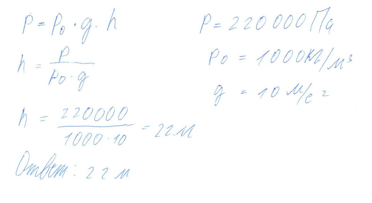
Определите высоту уровня воды в водонапорной башне, если манометр, установленный у ее основания показывает давление 220 кПа.
Ответы
Ответ дал:
0
Решение на фото.....
Приложения:

Вас заинтересует
2 года назад
2 года назад
8 лет назад
8 лет назад
10 лет назад
10 лет назад