Ответы
Ответ дал:
0
======================================
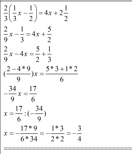
Приложения:

Ответ дал:
0
спасибо....))))))
Вас заинтересует
2 года назад
2 года назад
8 лет назад
8 лет назад
10 лет назад