Ответы
Ответ дал:
0
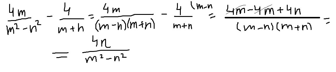
Для примера, остальные по аналогии
Приложения:

Вас заинтересует
2 года назад
2 года назад
8 лет назад
8 лет назад
10 лет назад
10 лет назад
10 лет назад