• Предмет: Алгебра
  • Автор: ElectroShok
  • Вопрос задан 10 лет назад

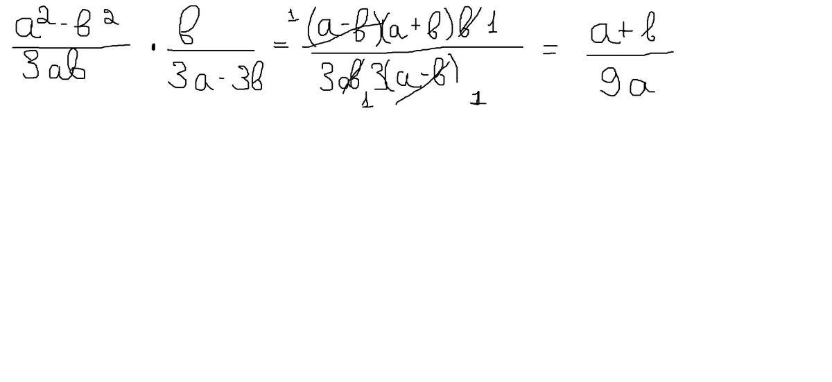
Упростите выражение a^2 - b^2/3ab * b/3a - 3b

Ответы

Ответ дал: BriannaV
0
Решение во вложении.
Приложения:
Ответ дал: melnikchp
0
(a-b)(a+b)/3ab  *  b/3(a-b)=a+b/3a

Приложения:
Вас заинтересует