• Предмет: Математика
  • Автор: Chuprunov2000
  • Вопрос задан 10 лет назад

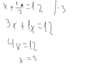
ПОМОГИТЕ!!! Уравнение х+1/3х=12

Ответы

Ответ дал: Milun
0
х+1/3х=12  умножаем всё на  3

Приложения:
Вас заинтересует