• Предмет: Алгебра
  • Автор: бусяша1015
  • Вопрос задан 10 лет назад

Помогиииииииите,пожалуйста

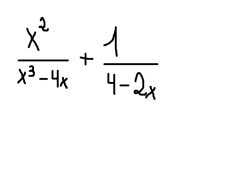
Приложения:

Ответы

Ответ дал: Yena
0
frac{x^2}{x^3-4x}+frac{1}{4-2x}=frac{x^2}{x(x^2-4)}-frac{1}{2(x-2)}=frac{x}{(x-2)(x+2)}-frac{1}{2(x-2)}= \ =frac{2x-(x+2)}{2(x-2)(x+2)}=frac{2x-x-2}{2(x-2)(x+2)}=frac{x-2}{2(x-2)(x+2)}=frac{1}{2(x+2)}
Вас заинтересует