• Предмет: Физика
  • Автор: elena1zoluska
  • Вопрос задан 10 лет назад

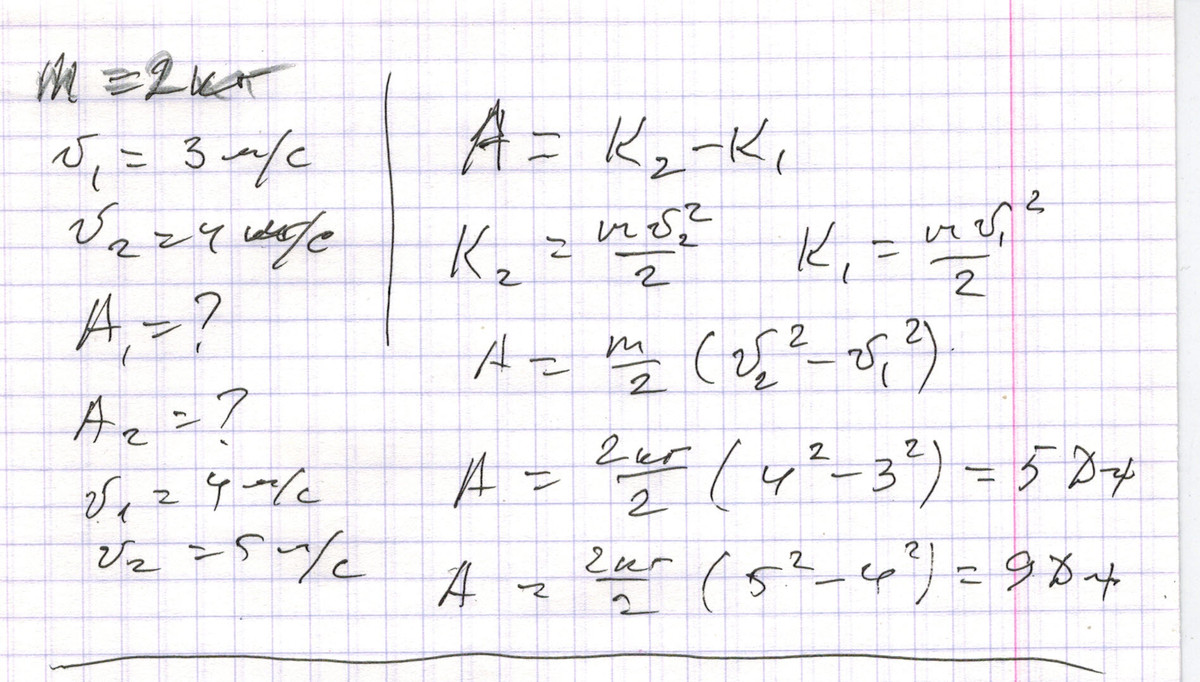
 Тело массой m2 кг движется со скоростью ύ1=3 м/с. Какую работу надо выполнить, чтобы увеличить скорость тела до ύ2=4 м/с? Вычислить работу, которую надо совершить, чтобы скорость увеличилась от ύ1=4 м/с до ύ2=5 м/с.

Ответы

Ответ дал: igmih64
0
смотри файлик..................
Приложения:
Ответ дал: elena1zoluska
0
Спасибо огромное))))))))
Вас заинтересует