• Предмет: Алгебра
  • Автор: Стефа
  • Вопрос задан 10 лет назад

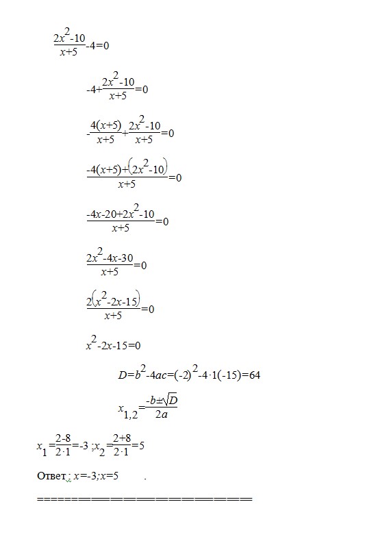
решите уравнение 2х в квадрате - 10/ х+5-4=0

Ответы

Ответ дал: triolana
0
===========================================
Приложения:
Вас заинтересует