Ответы
Ответ дал:
0
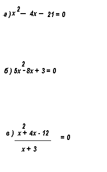
1. x^2-4x-21=0
D=16+84=100
x1=(4+10)/2=7
x2=(4-10)/2=-3
2. 5x^2-8x+3=0
D=64-60=4
x1=(8+2)/10=1
x2=(8-2)/10=0,6
3. x^2+4x-12=0, x≠-3
D=16+48=64
x1=(-4+8)/2=2
x2=(-4-8)/2=-6
D=16+84=100
x1=(4+10)/2=7
x2=(4-10)/2=-3
2. 5x^2-8x+3=0
D=64-60=4
x1=(8+2)/10=1
x2=(8-2)/10=0,6
3. x^2+4x-12=0, x≠-3
D=16+48=64
x1=(-4+8)/2=2
x2=(-4-8)/2=-6
Ответ дал:
0
a)D=16+84=100
x1=7
x2=-3
b)d=64-60=4
x1=1
x2=0,6
x1=7
x2=-3
b)d=64-60=4
x1=1
x2=0,6
Вас заинтересует
3 года назад
3 года назад
8 лет назад
8 лет назад
11 лет назад
11 лет назад
11 лет назад