• Предмет: Алгебра
  • Автор: Adelina1995
  • Вопрос задан 10 лет назад

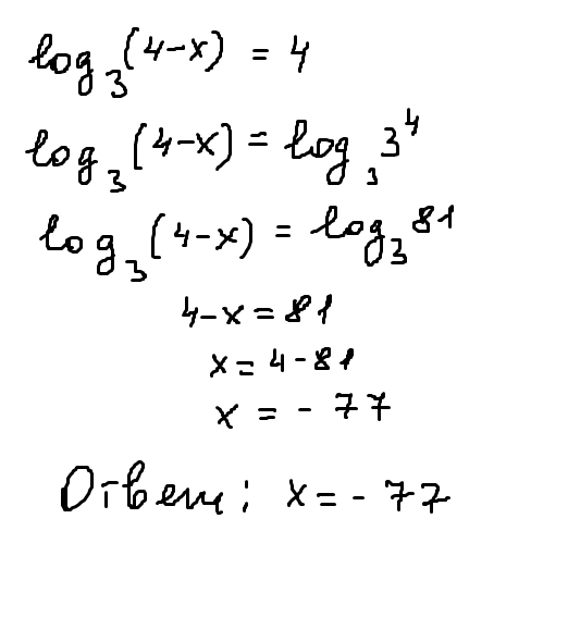
найдите корень уравнения log3 (4-x)=4

Ответы

Ответ дал: esmilya
0
Если понравилось решение - нажимай "спасибо" и "лучший" (рядом с кнопкой "спасибо") :)
Приложения:
Вас заинтересует