• Предмет: Алгебра
  • Автор: Настька111111
  • Вопрос задан 10 лет назад

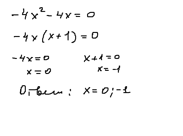
решите уравнение   -4х2-4х=0

Ответы

Ответ дал: esmilya
0
Если понравилось решение - нажимай "спасибо" и "лучший" (рядом с кнопкой "спасибо") :)
Приложения:
Вас заинтересует