• Предмет: Алгебра
  • Автор: starikoe
  • Вопрос задан 10 лет назад

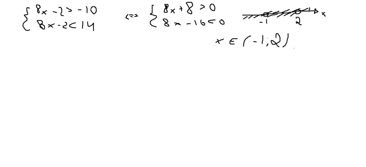
Решите двойное неравенство: -10<8x-2<14

Ответы

Ответ дал: aleantchest
0
.............................
Приложения:
Вас заинтересует