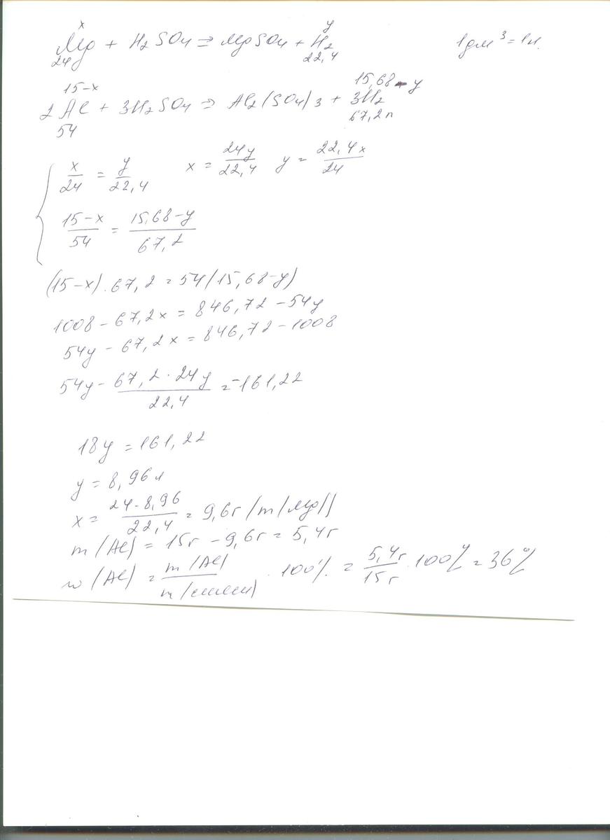
При растворении навески сплава магния и алюминия массой 15.0г в избытке разбавленного раствора серной кислоты выделился газ, объём (н. у.) которого составляет 15,68дм³. Рассчитайте массовую долю алюминия в сплаве.
Ответы
Ответ дал:
0
!!!!!!!!!!!!!!!!!!!!!!!!!!!!!!!!!!!!!!!!!!!!!!!!!!!!
Приложения:

Вас заинтересует
8 лет назад
10 лет назад
10 лет назад
10 лет назад