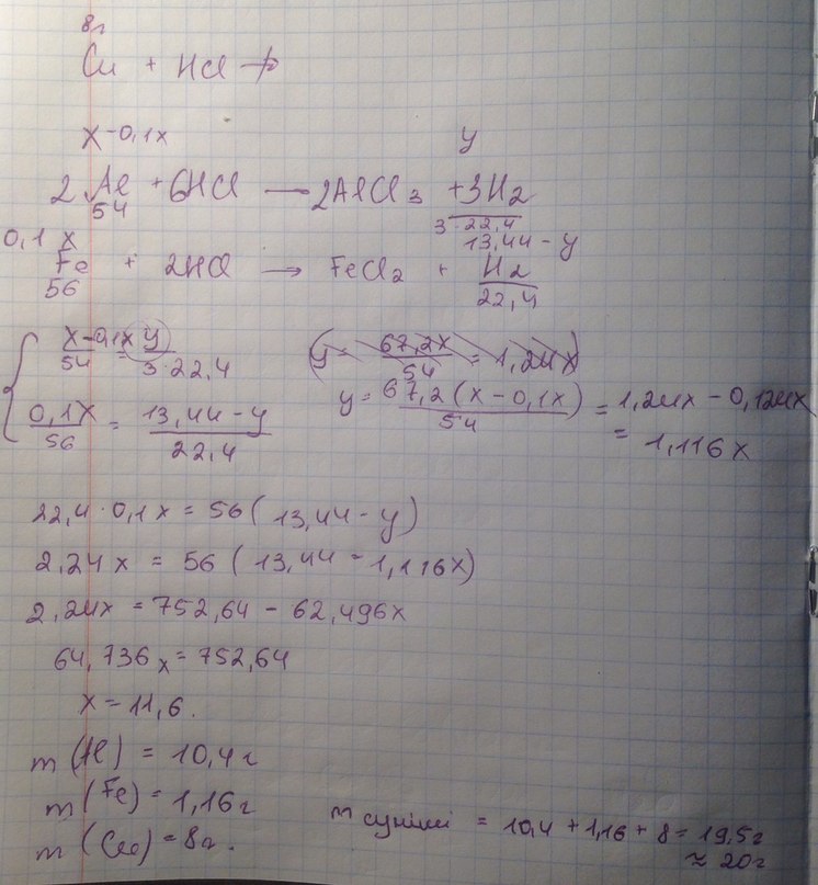
Під час дії на сплав, що містить залізо, мідь та алюміній, в якому масова частка заліза - 10%, надлишком хлоридної к-ти виділилось 13, 44л газу й залишилось 8 г нерозчинного залишку. Визначте масовий склад вихідної суміші!
Ответы
Ответ дал:
0
Визначте масовий склад вихідної суміші
Приложения:

Вас заинтересует
2 года назад
8 лет назад
10 лет назад
10 лет назад
10 лет назад