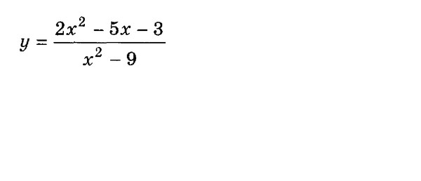
Функция задана формулой.Определите,при каком значении х график этой функции пересекается с прямой у=1.
Приложения:
Ответы
Ответ дал:
0
Подставляем в функцию вместо у единицу и решаем полученное уравнение.
Ответ х=2
Ответ х=2
Вас заинтересует
3 года назад
3 года назад
8 лет назад
8 лет назад
10 лет назад
10 лет назад
11 лет назад