• Предмет: Геометрия
  • Автор: Marisha12
  • Вопрос задан 11 лет назад

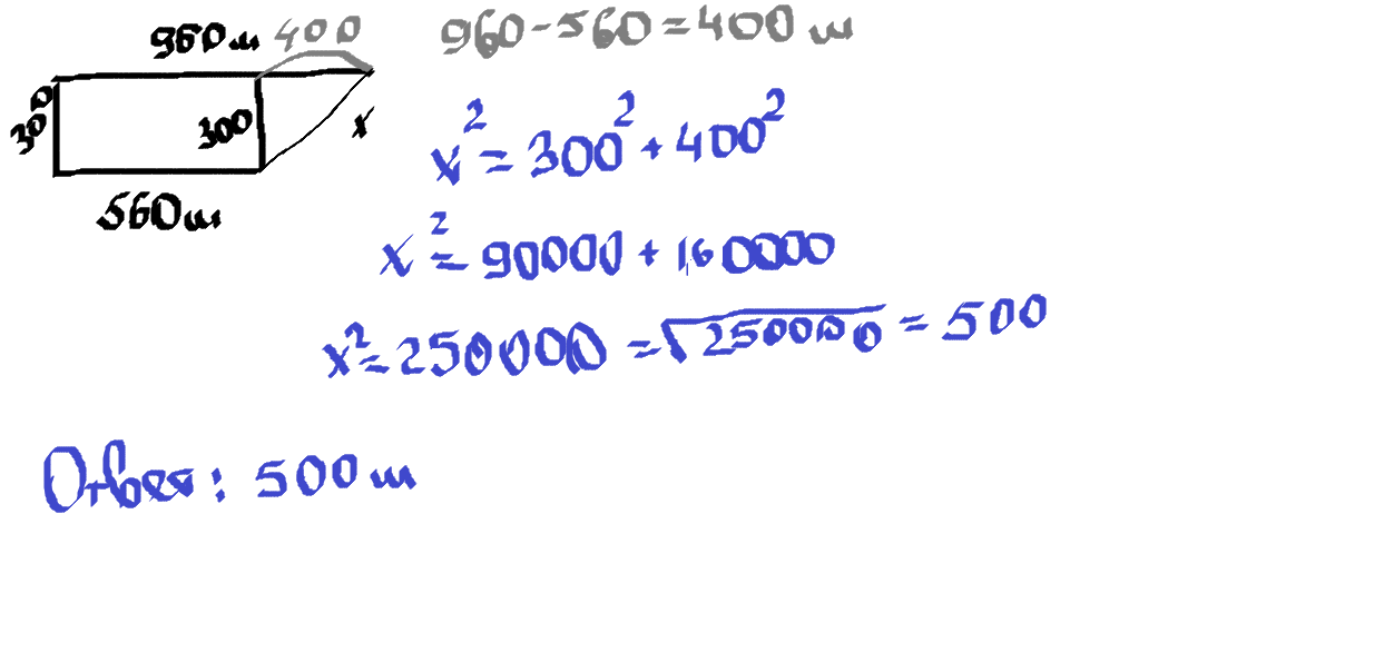
Девочка прошла от дома по направлению на запад 560м. Затем повернула на север и прошла 300 м. После этого она повернула на восток и прошла еще 960 м. На каком расстоянии в метрах от дома оказалась девочка?

Ответы

Ответ дал: Januar
0

   Ответ 500 м. Можно решить и по другому, этот треугольник египетский, вот смотри египетский- 3,4,5, и здесь также 300,400,500.

Приложения:
Вас заинтересует