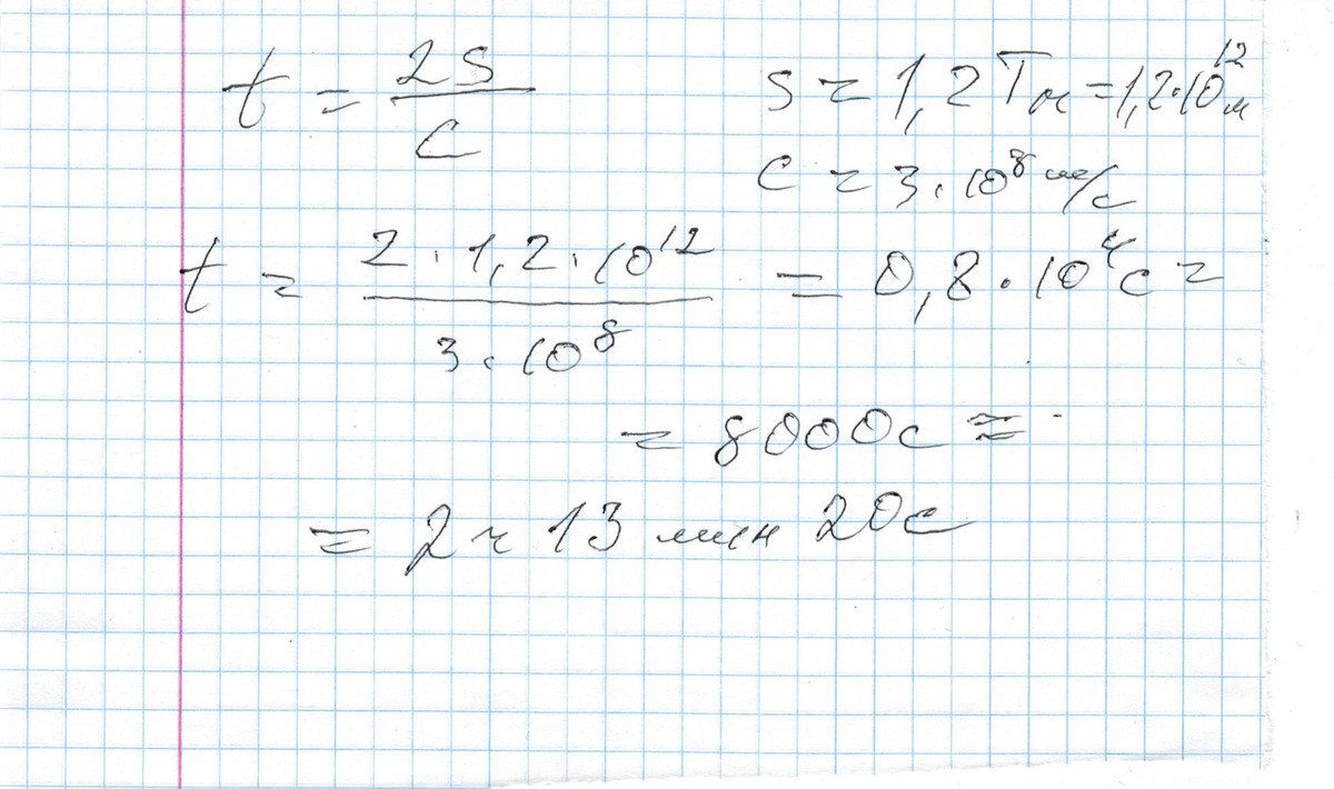
. Наименьшее расстояние от Земли до Сатурна 1,2 Тм. Через какой минимальный промежуток времени может быть получена ответная информация с космического корабля, находящегося в районе Сатурна, на радиосигнал, посланный с Земли?
Ответы
                                            Ответ дал: 
                                                                                    
                                        
                                            
                                                
                                                
                                                
                                                    0
                                                
                                            
                                        
                                    
                                        смотри файлик.............
                                    
                                                Приложения:
                    
                            Вас заинтересует
                
                        2 года назад
                    
                
                        2 года назад
                    
                
                        8 лет назад
                    
                
                        10 лет назад
                    
                
                        10 лет назад