• Предмет: Алгебра
  • Автор: dryhamc
  • Вопрос задан 11 лет назад

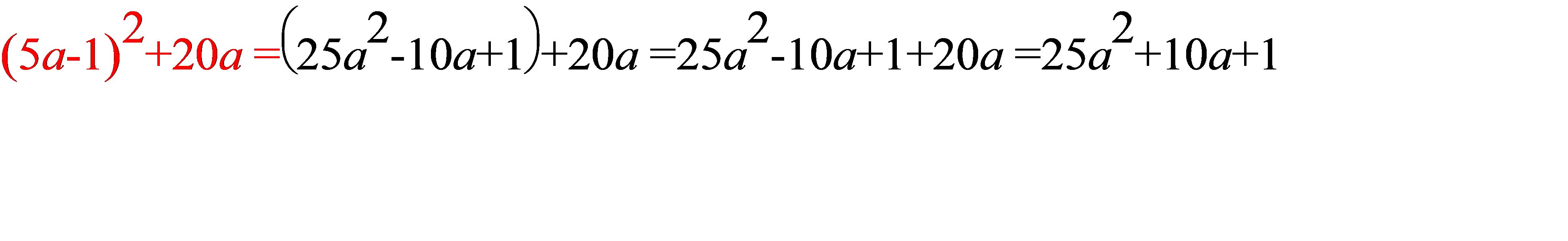
Упростить выражение (5а-1) в квадрате +20а

Ответы

Ответ дал: Swenald
0

(5a-1)^2+20a

25a^2-10a+1+20a

25a^2+10a+1

(5a+1)^2

Ответ дал: triolana
0

файл

========================= 

Приложения:
Вас заинтересует