• Предмет: Алгебра
  • Автор: крылова
  • Вопрос задан 11 лет назад

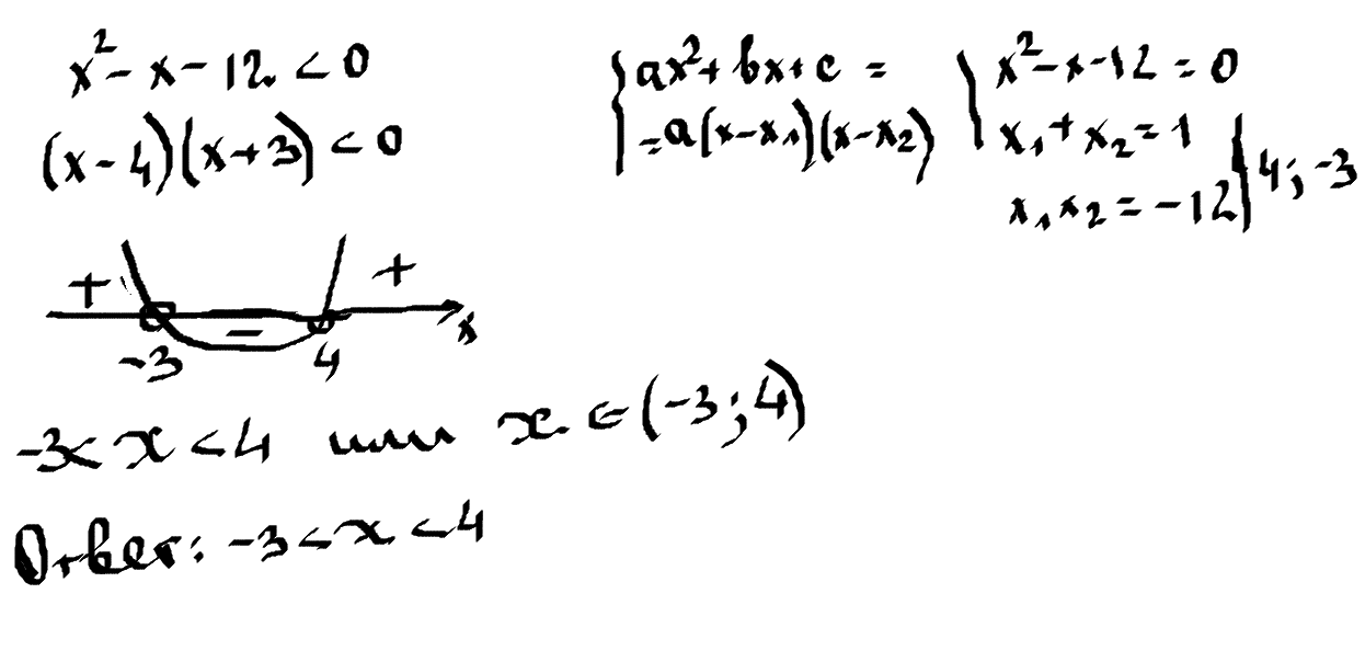
Решите неравенство х в квадрате - х-12 меньше 0

Ответы

Ответ дал: NikitosTracer
0

Пусть x^2-x-12=0 D=1+48=49   => x=(1+-7)/2  => x_{1} = 4; x_{2}=-3. т.к. a>0 решение -3<x<4

Ответ дал: Januar
0

Решение смотри во вложении.

Приложения:
Вас заинтересует
3 года назад