Ответы
Ответ дал:
0
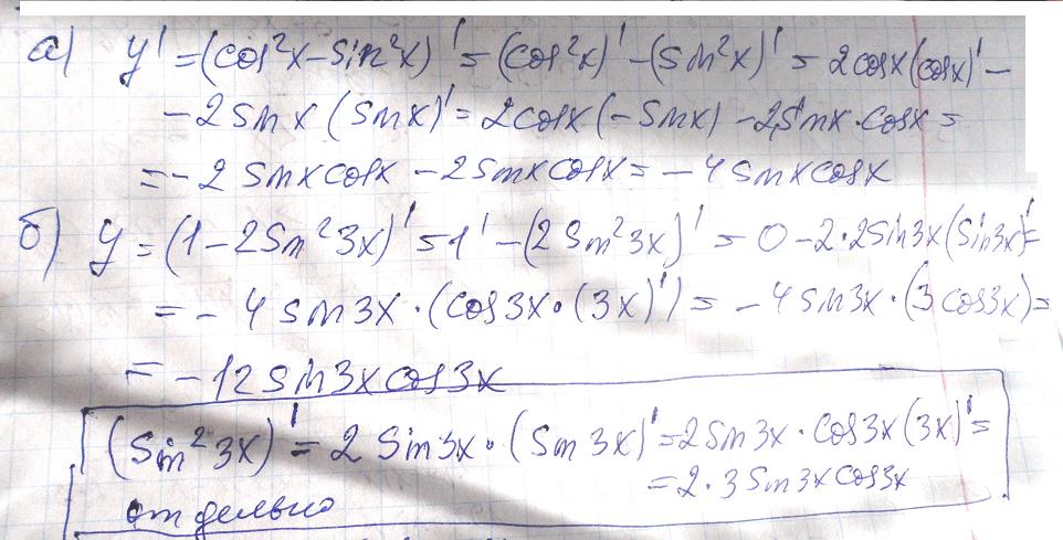
в этих заданиях рассматривается производная сложных функций
например производная от sin x =cos x (это простая табличная)
а (sin 3x)' сложная -аргумент не х а 3х (sin 3x)'=cos 3x *(3x)'=3cos 3x
например производная от sin x =cos x (это простая табличная)
а (sin 3x)' сложная -аргумент не х а 3х (sin 3x)'=cos 3x *(3x)'=3cos 3x
Приложения:

Вас заинтересует
2 года назад
8 лет назад
10 лет назад
10 лет назад
10 лет назад
10 лет назад