Ответы
Ответ дал:
0
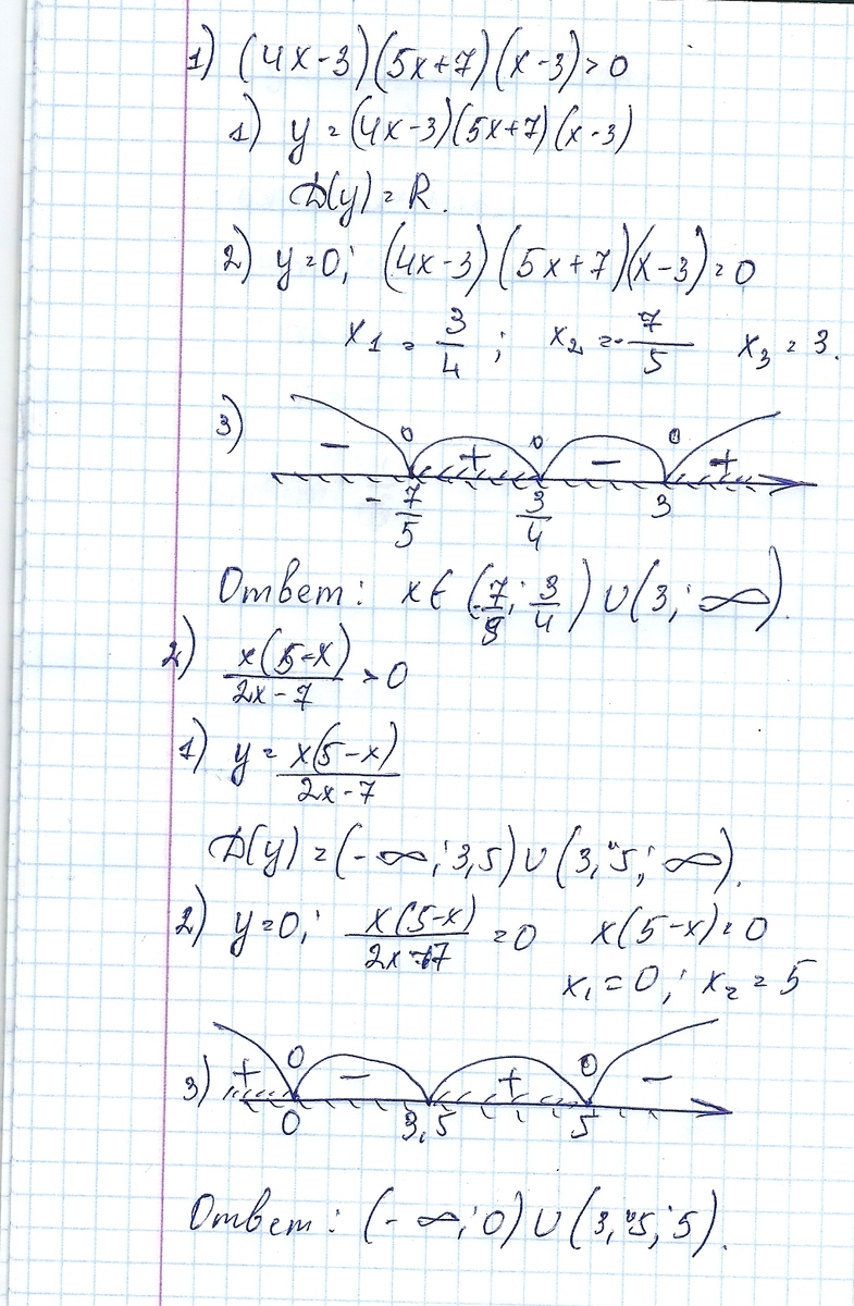
Решение во вложениях))))))))) Удачи на занятиях))))))
Приложения:

Ответ дал:
0
спасибо огромное!)
Вас заинтересует
2 года назад
2 года назад
8 лет назад
8 лет назад
10 лет назад
10 лет назад
10 лет назад