• Предмет: Математика
  • Автор: Михримах678
  • Вопрос задан 10 лет назад

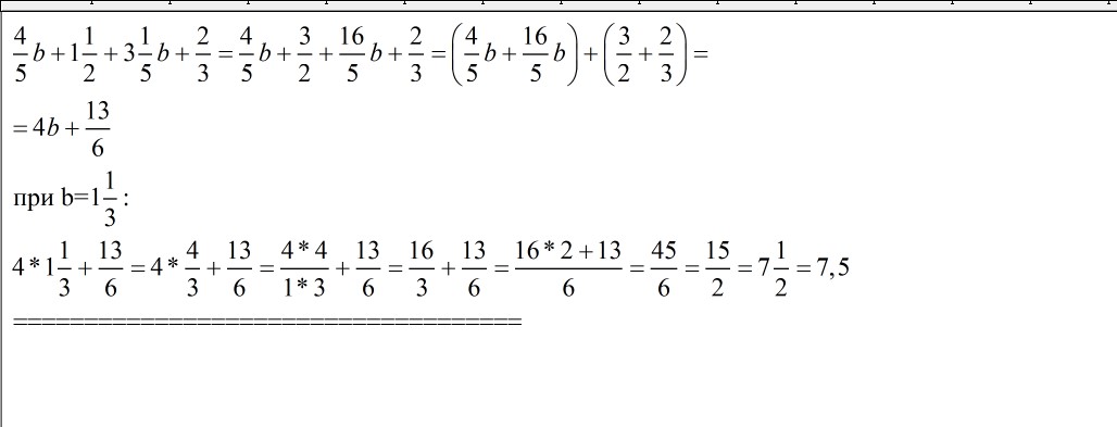
4/5b+одна целая 1/2+ три целых 1/5b+2/3,если b=одна целая 1/3 пожалуйста помогите с решением по действиям и с оформлением 

Ответы

Ответ дал: triolana
0
=========================================
Приложения:
Вас заинтересует