• Предмет: Математика
  • Автор: Аноним
  • Вопрос задан 10 лет назад

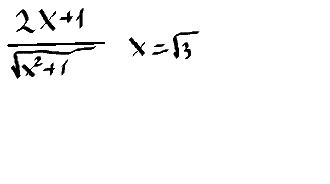
помогите ,производная))))))))))

Приложения:

Ответы

Ответ дал: Олька1934556
0
f '(x)=(2sqrt(x^2+1) - (2x+1)*1/(2sqrt(x^2+1))*2x)/(x^2+1)
Ответ дал: Sky09
0
f(x)= frac{2x+1}{ sqrt{x^2+1} } \ f'(x)= frac{2-x}{(x^2+1) sqrt{x^2+1} } \
f'( sqrt{3} )= frac{2- sqrt{3} }{8} = frac{1}{4} - frac{ sqrt{3} }{8}
Вас заинтересует