• Предмет: Алгебра
  • Автор: angelochekange
  • Вопрос задан 10 лет назад

Решите уравнение х³-2х²-9х+18=0. Пожалуйста 

Ответы

Ответ дал: Аноним
0
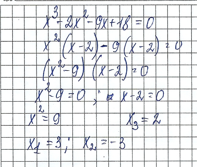
Решение во вложения..................................
Приложения:
Ответ дал: kefa
0
x^3 - 2x^2 - 9x  + 18 = 0 \\
x^2(x - 2) -9 (x - 2)=0 \\
(x^2 - 9) (x - 2) = 0\\
(x-3)(x+3)(x-2) = 0


произведение равно нулю тогда, когда хотя бы один из множителей равен нулю:
x - 3 = 0
 или  x + 3 =  0  или x - 2 = 0
x = 3  или  x = -3  или x = 2

Ответ: -3; 2; 3.
Приложения:
Ответ дал: kefa
0
какая-то лишняя А вылезла, но, думаю, ничего страшного
Вас заинтересует