Ответы
Ответ дал:
0
буду писать частями
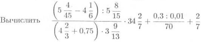
(5 4/45 - 4 1/6) : 5 8/15 = (229/45 - 25/6) : 83/15 = (1374/270 - 1125/271) * 15/83 = 249/270 * 15/83 = 1/6
Это была верхняя часть дроби
Теперь нижняя
(4 2/3 + 0,75) * 3 9/13 = (4 2/3 + 3/4) * 48/13 = (56/12 + 9/12) * 48/13 = 65/12 * 48/13 = 20
далее решаем всю дробь оставшуюся
1/6 : 20 = 1/6 * 1/20 = 1/120
далее следующая дробь
0,3 : 0,01 = 30 = 3
70 70 7
далее оставшийся пример
1/120 * 34 2/7 + 3/7 + 2/7 = 1/120 * 240/7 + 3/7 + 2/7 = 2/7 + 3/7 + 2/7 = 7/7 = 1
(5 4/45 - 4 1/6) : 5 8/15 = (229/45 - 25/6) : 83/15 = (1374/270 - 1125/271) * 15/83 = 249/270 * 15/83 = 1/6
Это была верхняя часть дроби
Теперь нижняя
(4 2/3 + 0,75) * 3 9/13 = (4 2/3 + 3/4) * 48/13 = (56/12 + 9/12) * 48/13 = 65/12 * 48/13 = 20
далее решаем всю дробь оставшуюся
1/6 : 20 = 1/6 * 1/20 = 1/120
далее следующая дробь
0,3 : 0,01 = 30 = 3
70 70 7
далее оставшийся пример
1/120 * 34 2/7 + 3/7 + 2/7 = 1/120 * 240/7 + 3/7 + 2/7 = 2/7 + 3/7 + 2/7 = 7/7 = 1
Вас заинтересует
3 года назад
3 года назад
8 лет назад
11 лет назад
11 лет назад
11 лет назад