Ответы
Ответ дал:
0
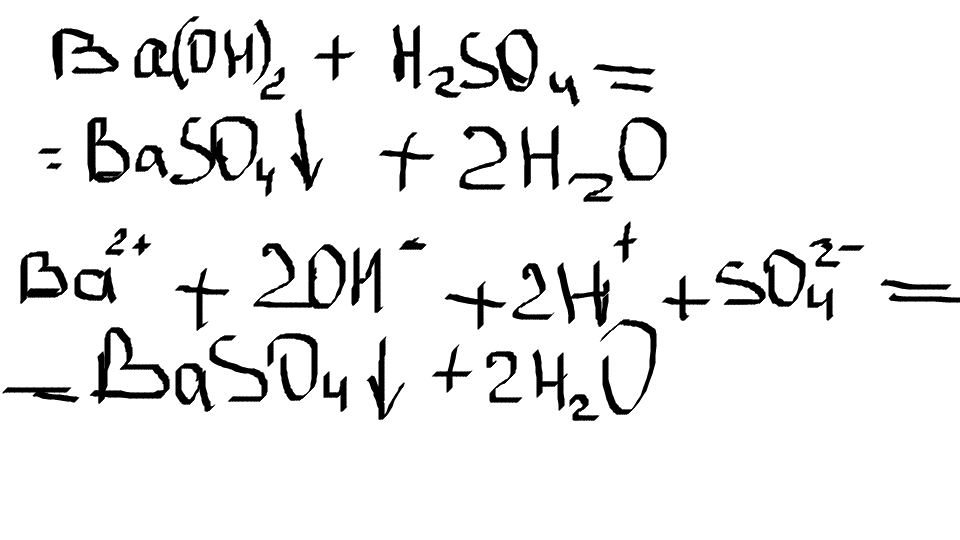
уверен(на) что H2SO , а не H2SO4?
Приложения:

Ответ дал:
0
H2SO4 да пропустила случайно
Ответ дал:
0
фаил добавила в основное решение, посмотри
Ответ дал:
0
Приложения:

Вас заинтересует
2 года назад
8 лет назад
8 лет назад
10 лет назад
10 лет назад