Плиз решите линейное уравнение методом сложения.
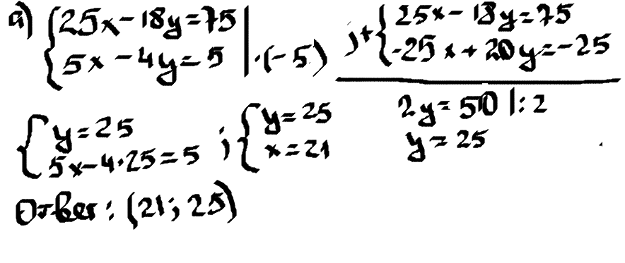
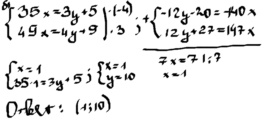
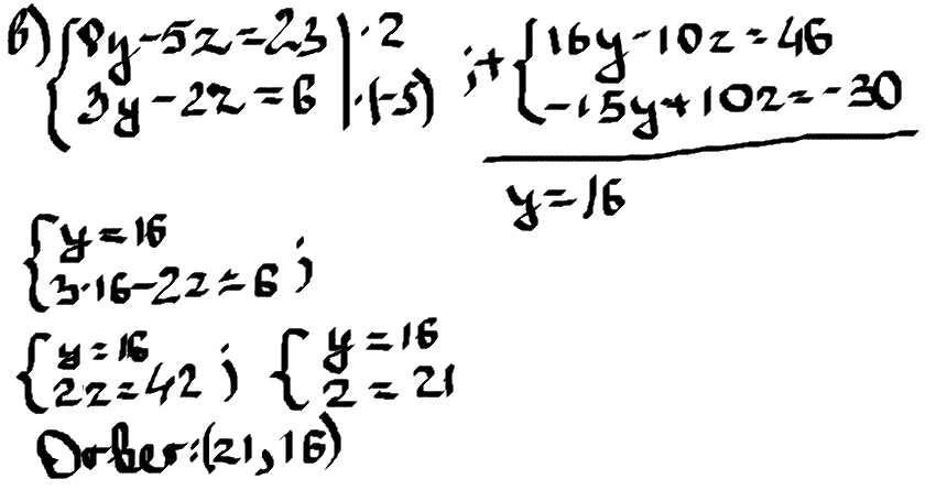
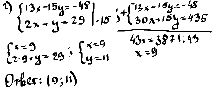
А) 25х-18у=75, б) 35х=3у+5, В) 8у-5z=23, Г) 13х-15у=-48,
5х-4у=5. 49х=4у+9. 3y-2z=6. 2х+у=29.
Ответы
Ответ дал:
0
Решение смотри во вложении!
Приложения:




Вас заинтересует
2 года назад
2 года назад
8 лет назад
10 лет назад
10 лет назад