1) Сколько целочисленных решений имеет неравенство x^4 < 9x ?
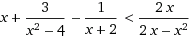
2) Найдите неотрицательные целые решения неравенства
x+3 / (x^2-4) - 1/(x+2) < 2x/(2x-x^2)
Ответы
Ответ дал:
0
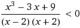
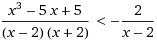
2. в конце x+-1
x=0
Думаю так, но не уверен.
Приложения:





Вас заинтересует
2 года назад
8 лет назад
10 лет назад
10 лет назад
10 лет назад