Помогите с физикой пожалуйста..Задачи за 7 класс...
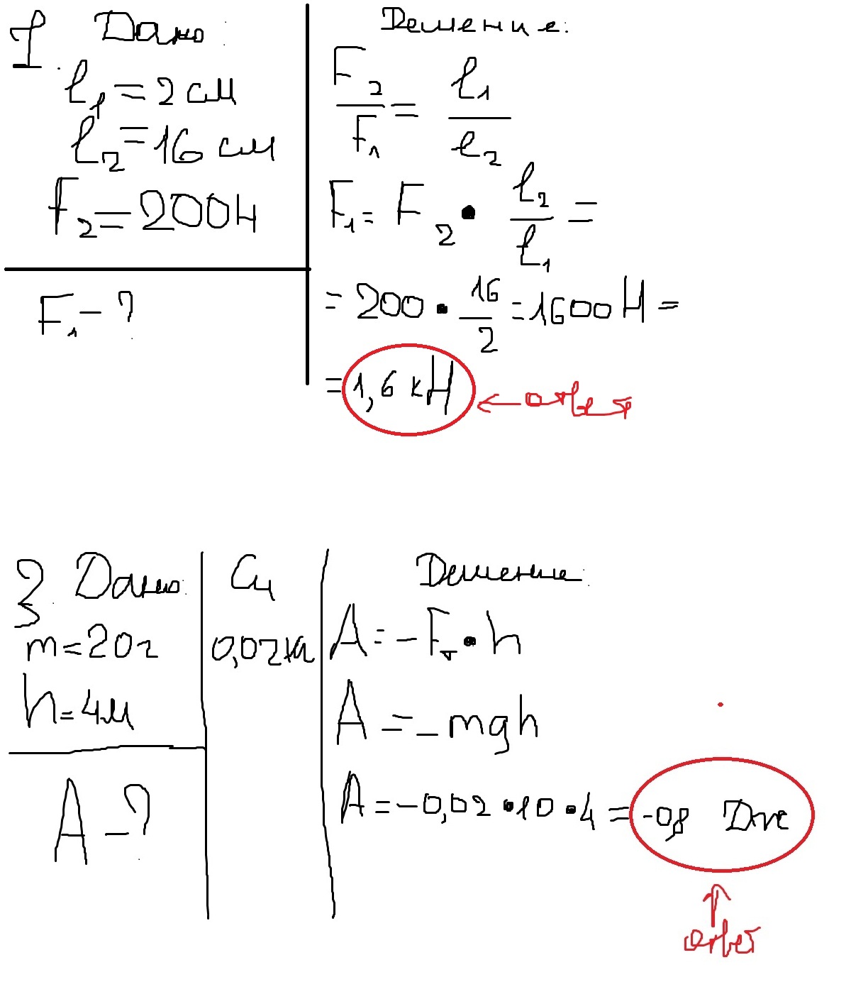
1. При помощи кусачек перекусывают гвоздь. Рука сжимает кусачки с силой 200 Н. Расстояние от оси вращения кусачек до гвоздя равно 2 см, а до точки приложения силы руки — 16 см. Определите силу, действующую на гвоздь.
2. При кратковременных усилиях человек массой 75 кг может без труда за 6 с взбежать по лестнице на высоту 12 м. Определите мощность, развиваемую человеком.
3. Мяч массой 20 г брошен вертикально вверх. Определите работу силы тяжести при подъеме мяча на высоту 4 м.
4. Атомный ледокол, развивая мощность 32,4 МВт, прошел во льдах путь 20 км за 5 ч. Определите среднюю силу F сопротивления движению ледокола.
5. Какую работу совершит насос за время, равное 1 ч, если за 1 с он поднимает на высоту 4 м воду объемом 5 л?
6. На концы рычага действуют силы 4 Н и 20 Н. Длина
рычага равна 60 см. На каком расстоянии от места приложения большей силы располагается точка опоры, если рычаг находится в равновесии?
Ответы
Смотри решения на 1 и 3 задачи:
