1) Решите систему неравенств:

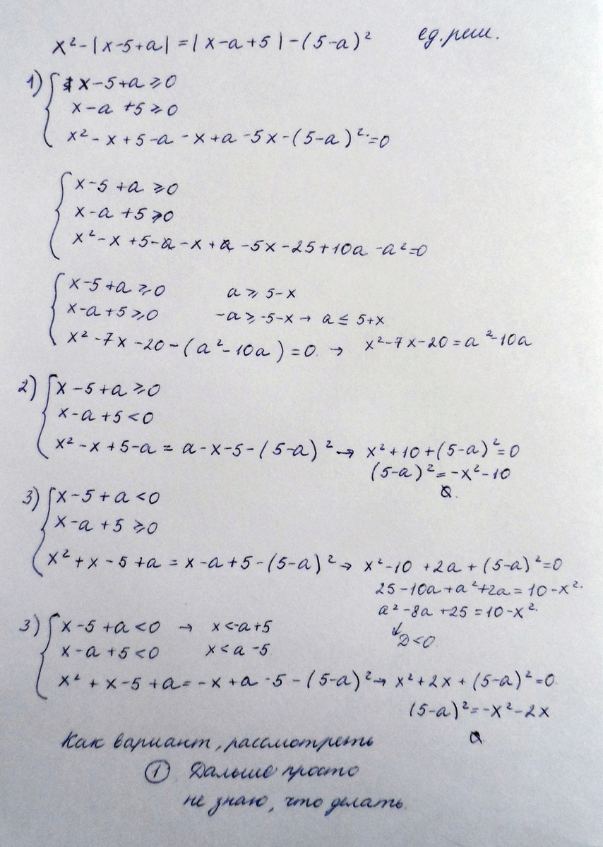
2) Найдите все значения параметра а, при каждом из которых уравнение

имеет единственный корень.
Ответы
Ответ дал:
0
Решение прикреплено файлами!
Приложения:


Ответ дал:
0
спасибо большое)
Ответ дал:
0
надеюсь, что большая часть верна)
Вас заинтересует
2 года назад
8 лет назад
10 лет назад