• Предмет: Алгебра
  • Автор: rrrrtttttt
  • Вопрос задан 10 лет назад

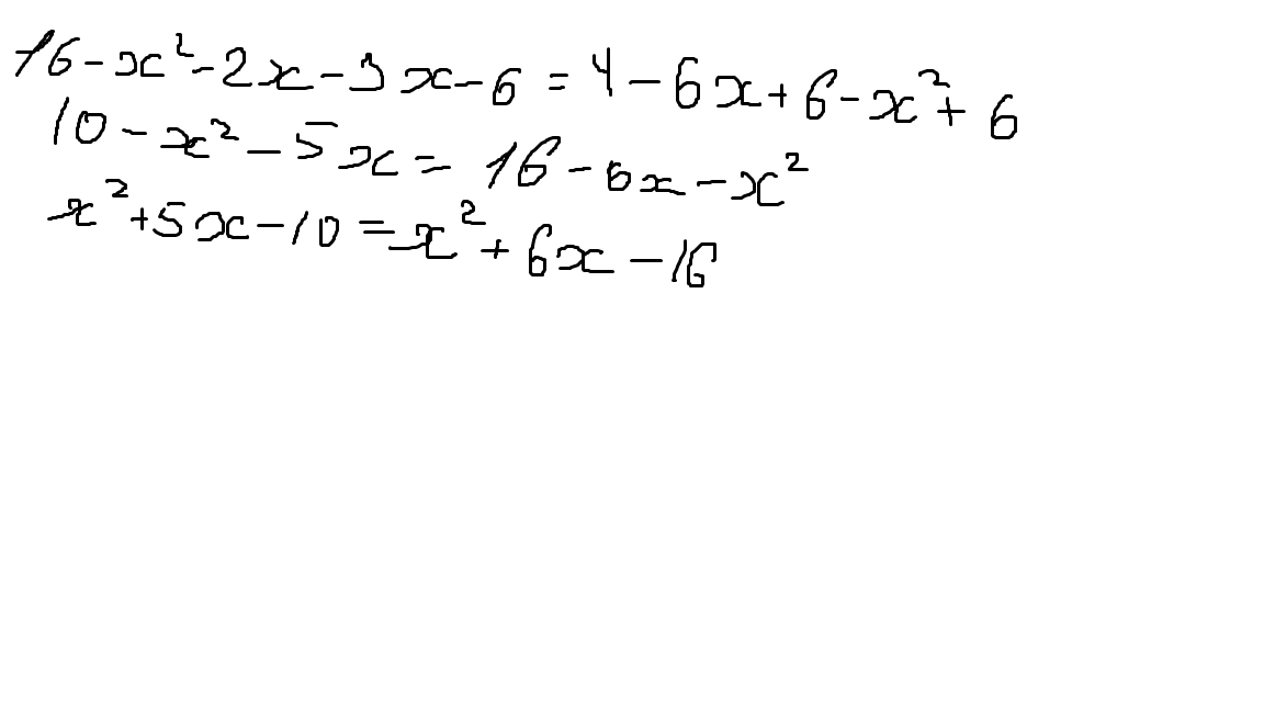
16 - (х + 3)(х + 2) = 4 - (6 + х)(х - 1) доказать тождествоУ этого сайта нет рейтинга

Ответы

Ответ дал: Ekaterina1819
0
У меня только так получается, дальше никак. 
Приложения:
Вас заинтересует