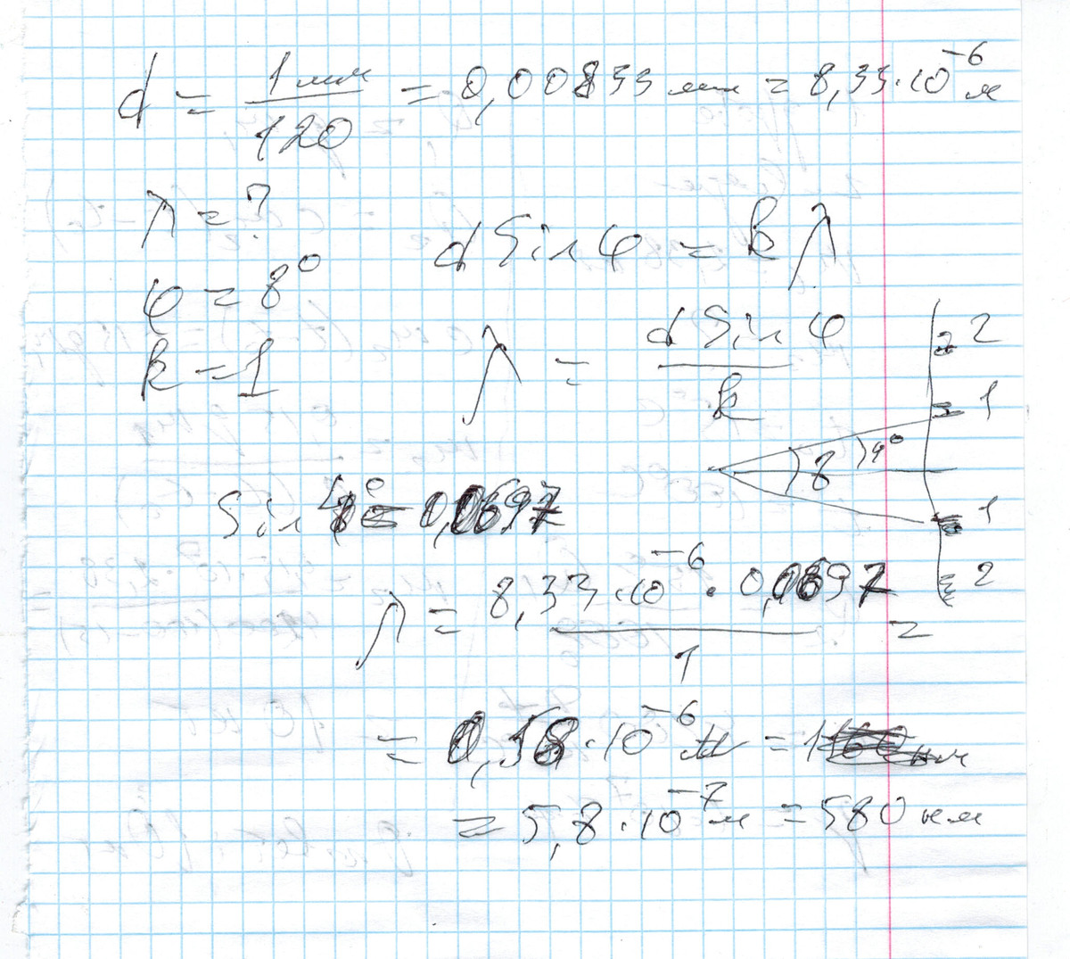
дифракционная решетка имеет 120 штрихов на 1мм. Найдите длину волны монохроматического света падающего на решетку, если угол между двумя спектрами первого порядка равен 8 градусов
Ответы
Ответ дал:
0
смотри файлик..................
Приложения:

Вас заинтересует
8 лет назад
8 лет назад
10 лет назад
10 лет назад
10 лет назад