• Предмет: Алгебра
  • Автор: ЛизаЛис
  • Вопрос задан 10 лет назад

помогите плиз... зарание спс!!!

Приложения:

Ответы

Ответ дал: Ekaterina1819
0
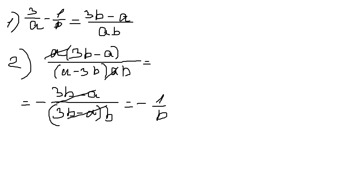
Получится вот так :)
Приложения:
Вас заинтересует