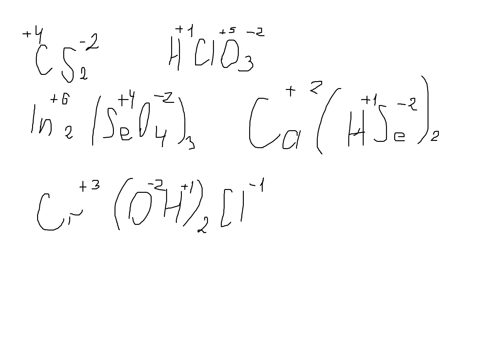
Определите степени окисления элементов в соединениях:CS2,HClO3, In2(SeO4)3, Ca(HSe)2, Cr(OH)2Cl;
Ответы
Ответ дал:
0
смотри вложение.............
Приложения:

Вас заинтересует
2 года назад
8 лет назад
10 лет назад
10 лет назад
10 лет назад