• Предмет: Математика
  • Автор: KArinchek
  • Вопрос задан 11 лет назад

от города до поселка автомобиль доехал за 4 часа. если бы он увеличил среднюю скорость на 20 км/ч, он затратил бы на этот путь на 1 час меньше. найдите расстояние от корода до поселка?

 

Ответы

Ответ дал: Aleksina
0

4V=3(V+20)-надеюсь понятно почему
4V-3V=120
V=20, осюда путь: 4х120=240 км

Ответ дал: Lana96
0

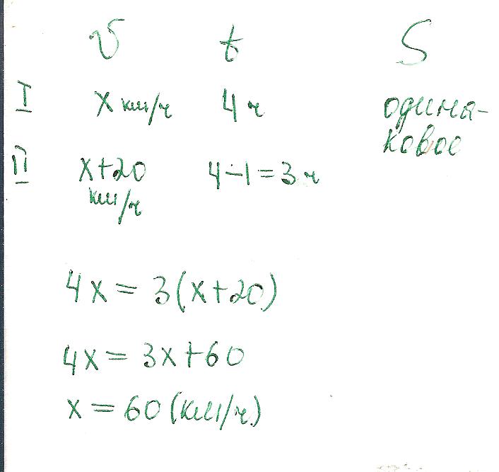
Составим таблицу. Она во вложении. Пояснение: пусть х- первая скорость, тогда увеличенная скорость равна (х+20). По формуле t*V=S получаем, что уравнение. Мы приравняли расстояние. Мы нашли х, т.е. первую скорость, равную 60 км/ч, и умножаем ее на время равное первому 4 часам. Получается 60*4=240 км.

                                                               Ответ:240 км. 

Приложения:
Вас заинтересует