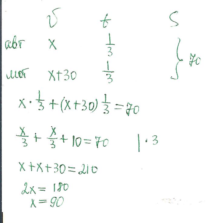
Из двух городов, расстояние между которыми 70 км,выехали одновременно навструсу друг другу мотоциклист и автомобиль, причем скорость мотоциклиста была на 30 км больше скорости автомобимяю Чему равна скорость автомобиля если известно что встретятся они через 20 минут? Обозначив скорость автомобиля за х км/ч, можно составить уравнение.
Ответы
Ответ дал:
0
Я составила таблицу по которой мы составим уравнение.
Приложения:

Вас заинтересует
2 года назад
10 лет назад
10 лет назад
10 лет назад