Найдите площадь прямоугольного треугольника, если радиусы вписанной в него и описанной около него окружностей равны соответственно 2м и 5м
Ответы
Ответ дал:
0
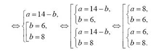
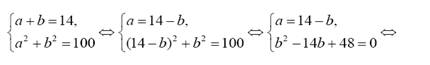
Это в конце: S= одна вторая ab = одна вторая *8*6=24м в квадрате
Приложения:
Вас заинтересует
3 года назад
3 года назад
8 лет назад
8 лет назад
11 лет назад
11 лет назад
11 лет назад